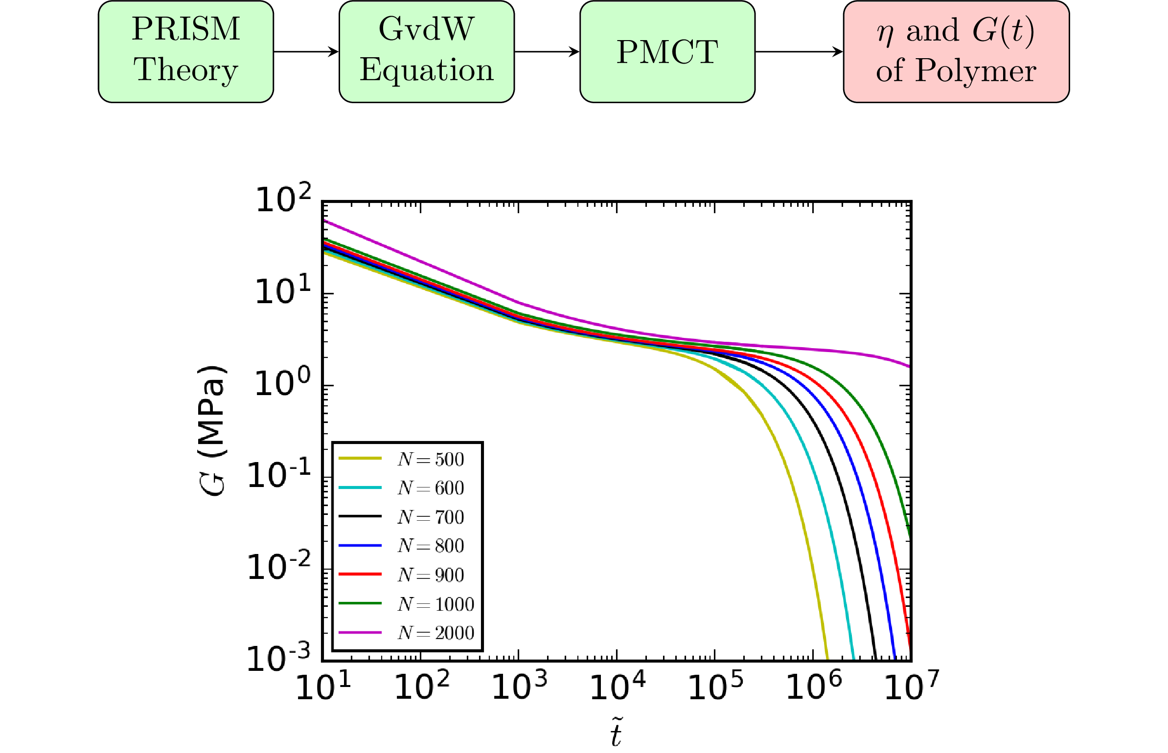
Polymer Free Volume and Its Connection to the Entanglement Length and the Plateau Modulus via Polymer Mode-Coupling Theory and Equation of State

Accepted manuscript in Physics of Fluids (DOI: 10.1063/5.0199342)

Zero Shear Viscosity of Two Polyatomic Glass-Forming Liquids Calculated by Vogel$-$Fulcher Law and Schematic Mode-Coupling Theory

Accepted manuscript in Physics of Fluids (DOI: 10.1063/5.0199340)

Prediction of Crossover in the Molecular Weight Dependence of Polyethylene Viscosity Using a Polymer Free Volume Theory

Accepted manuscript in Soft Matter (DOI: 10.1039/D0SM00752H)

A Theory for the Temperature Effect on the Chain Length Dependence of the Diffusivity of Oligomers

Accepted manuscript in Soft Matter (DOI: 10.1039/C9SM02505G)

Analysis of Brownian Dynamics and Molecular Dynamics Data of Unentangled Polymer Melts Using Proper Orthogonal Decomposition

Accepted manuscript in Macromolecular Theory and Simulations (DOI: 10.1002/mats.201800072)

Velocity time correlation function of a rouse chain

Accepted manuscript in Computational Materials Science (DOI: 10.1016/j.commatsci.2018.08.042)

Analysis of ToF-SIMS spectra of polymer with density functional theory

Accepted manuscript in Surface and Interface Analysis (DOI: 10.1002/sia.6283)

Go back